Lompat ke konten Lompat ke sidebar Lompat ke footer

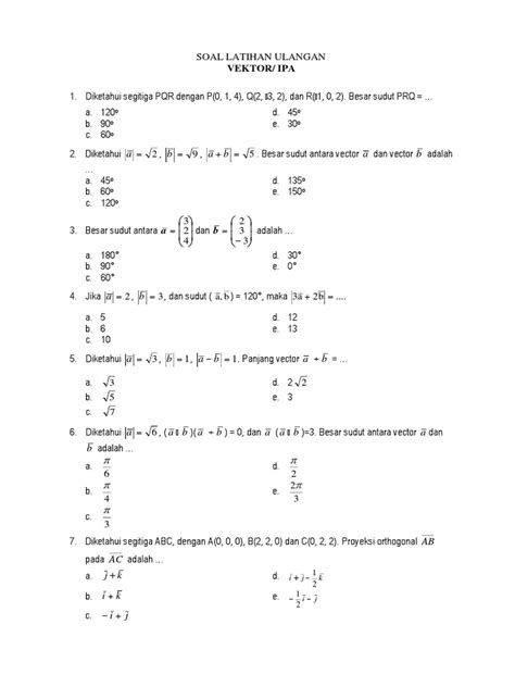
Soal Vektor Doc


Soal Vektor Doc

buatin soal essy tentang . indonesia DOC​

1. buatin soal essy tentang . indonesia DOC​


Jawaban:

soal sejarah:

1.sejarah bisa diartikan sebagai?...

2.sebutkan konsep ruang dan waktu sejarah secara singkat?....

Penjelasan:

semoga membantu jawabannya maaf jika ada yang salah


2. kumpulan soal sistem gerak manusia smp doc


1. Apa pengertian rangka?
2. Sebutkan dan jelaskan kelainan pada sistem gerak.
3. Apa yang disebut dengan sistem gerak pasif?
4. Sebukan macam macam otot!
5. Apa yang disebut dengan sistem gerak aktif?

3. Ini soal doc tp saya cuman mau jawaban 2 ok


Jawaban:

pemukiman desa yang asri dan tentram

- Keindahan desa yang berseri
- keindahan di kampung ku
- berwisata ke suatu desa yang indah

4. Doc adalah kerjasama di bidang


kerjasama investasi dan kerjasama ekonomi

5. DOC merupakan singkatan dari ?​


Jawaban:

Doc merupakan singkatan dari Day Old Chick yang merupakan istilah untuk anak ayam yang berumur satu hari.

Penjelasan:

maaf kalau salah :) semoga membantu :)

6. Untuk menghapus seluruh nama file yang berakhiran Doc, dengan perintah…. A:\>Del *.Doc C:\>Del *.* A:\>Del Doc.* A:\>Dir *.* C:\>Del


Jawaban:

A:\>Del *.Doc

Penjelasan:

Del adalah perintah Delete yg disingkat (artinya hapus)

Bila perintah ini diikuti *.Doc maka perintah ini berguna untuk menghapus semua file bertipe doc


7. saat penerimaan DOC dilakukan penimbangan terhadap box DOC 100 gram, box kosong 1,25kg berdasarkan data tersebut maka bobot rata-rata DOC adalah berapa gram?​


Jawaban:

Lokasi kandang. Kandang ideal terletak di daerah yang jauh dari pemukiman penduduk, mudah dicapai sarana transportasi, terdapat sumber air, arahnya membujur dari timur ke barat. Pergantian udara dalam kandang. Ayam bernapas membutuhkan oksigen dan mengeluarkan karbondioksida. Supaya kebutuhan oksigen selalu terpenuhi, ventilasi kandang harus baik. Kemudahan mendapatkan sarana produksi. Lokasi kandang sebaiknya dekat dengan poultry shop atau toko sarana peternakan.

Suhu udara dalam kandang. Suhu ideal kandang sesuai umur adalah :

Umur (hari) Suhu ( 0C )

01 – 07 34 – 32

08 – 14 29 – 27

15 – 21 26 – 25

21 – 28 24 – 23

29 – 35 23 – 21

Penjelasan:


8. apa kepanjangan dari DOC​


Jawaban:

Singkatan dari Day-old-chicken, anak ayam yang berumur di bawah 10 hari yang digunakan sebagai bibit untuk ternak ayam ras potong/pedaging.

Penjelasan:

Maaf kalau salah


9. File animasi di program provost disimpan dalam bentukA. piv dan psdB. gif dan docC. piv dan docD. piv dan gifKak tolong dijawab sekarang soalnya nanti dikumpulkan​


Jawaban:

gk tau 'a'mungkin gatau 'd'


10. Please di bantu yah,,  soal nya ada dlm doc ini ...


(fogoh)(x) = f(goh(x) = 0
f(g(sin x)) = 0
f(2sin x - π) = 0
log(2sin x - π) = 0
2sin x - π = 1
sin x - π = 1/2
sin x - π = sin π/6
dengan menyelesaikan pers tersebut didapat x = 3π/4

11. situs download prediksi soal un 2015 smp yang formatnya doc dimana ya? soalnya yang lain formatnya pdf.


sama saya juga lagi cari ntar klo udh ketemu saya beri tahuGak ada kayak annya gan..
gak boleh diluncurkan prediksi soal UN SMP 2015
ya ada sih.. tapi bukan semuanya sama pada soal UN yg asli

12. PSYCHO DOC PSYCHO DOC TOLONG KERJAKAN BRAINLY.


Jawaban:

1. D

2. A

3. A

4. B

5. B

6. B

7. C

8. C

9. A

10. D

11. B

12. A

13. A

14. A

15. D


13. apa yang dimaksud DOC


Dalam teknologi komputasi, DOC atau doc (singkatan dari 'document' ) adalah sebuah ekstensi berkas untuk aplikasi pengolah kata yang terdapat di Microsoft Word Binary File Format.[4] Sejarah mengatakan bahwa ekstensi tersebut pernah digunakan pada teks biasa, khususnya program atau perangkat keras komputer di berbagai sistem operasi. Pada 1980an, WordPerfect menggunakan DOC sebagai format bawaan mereka. Kemudian, pada dasawarsa 1990an, Microsoftmemilih untuk menggunakan ekstensi DOC untuk format bawaaan Microsoft Word.

14. Yang punya soal-soal latihan soal b.inggris kelas X minta dong.. Please penting nih. Kalo bisa di upload ke doc biar langsung bisa ke download. Makasiih..


Contoh Soal :
Text 1
Sanitation at Home
A home is a place where people cook, eat sleep and look after their children. It protects people from harsh weather – cold, rain, wind, the burning rays of the sun-as well as from insects, animals and other dangers, so a home is a very important place for people to live.
Sanitation at home is important. People can do a lot about improving some of their living conditions in which they live. They should refrigerate food properly or store it carefully to keep it away from bacteria, and they should not leave food lying around because it may attract insects and rats. To Avoid these pests, proper care of garbage is also very important.Careful housekeeping is extremely important to sanitation and food health. People should keep all parts of the house neat and clean by sweeping and mopping them, such as bedroom, bathroom and kitchen. They should tidy up the bedroom, scrub bathroom and kitchen often, and use disinfectants freely. Sanitary condition of a house protects people from germs but health problems not caused by germs are a growing challenge in the field of sanitation today.1. The author is primarily concerned with describing …
a. the importance of having a good home
b. how people should keep their house tidy
c. the ways people should obey to have good sanitation
d. the danger of leaving their meal open
e. the diseases derive from garbage2. According to the author …
a. house is the most important thing to have
b. people should store their meal in refrigerator
c. people should be aware of getting bad environment
d. flies, rats, ants and many other insects need our protection
e. keeping the environment healthy is the most important thing to do3. Which one of the words below has similar meaning to sanitary ?
a. dirty
b. waste
c. clean
d. soiled
e. health
4. The word it paragraph 1, sentence 2 refers to …
a. a home
b. child
c. a place
d. weather
e. wind

15. DOC adalah kepanjangan dari


Jawaban: Singkatan dari Day-old-chicken, anak ayam yang berumur di bawah 10 hari yang digunakan sebagai bibit untuk ternak ayam ras potong/pedagang

Penjelasan:

Sumber : Wikipedia

Maaf kalo salah :)

Jawaban: Day-old-chicken,

Penjelasan: Day Old Chicken adalahanak ayam yang berumur di bawah 10 hari yang digunakan sebagai bibit untuk ternak ayam ras potong/pedaging.


Video Terkait


Posting Komentar untuk "Soal Vektor Doc"